Fan sayfamıza katılın
Öyleyse bir link gönderin -
başkalarının da faydalanmasını sağlayın
- Görüntülemeler:
- 91
- Derecelendirme:
- Yayınlandı:
-
Bu koda dayalı bir robota veya göstergeye mi ihtiyacınız var? Freelance üzerinden sipariş edin Freelance'e git
Pearson korelasyon göstergesi.
Girdi parametreleri:
- Sembol - hesaplama için ikincisembol;
- Dönem - dönem;
- Fiyat - uygulanan fiyat;
- Min korelasyon - zayıfkorelasyon için gradyan rengi;
- Maksimum korelasyon - yüksek bağımlılık için gradyan rengi.
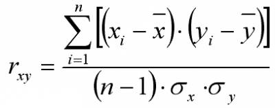
Genel formül:

Burada:
- xi ve yi karşılaştırılan nicel niteliklerdir;
- n karşılaştırılan gözlemlerin sayısıdır;
- σx ve σy - karşılaştırılan serilerdeki standart sapmalar.

MetaQuotes Ltd tarafından Rusçadan çevrilmiştir.
Orijinal kod: https://www.mql5.com/ru/code/897
IncGUI_ColorInput
Renk girişi için bir grafik kontrolü.
KA-Gold Bot MT5
KA-Gold Bot, Keltner kanal stratejisinin ve iki üstel hareketli ortalamanın (EMA) - 10 dönemlik EMA ve 200 dönemlik EMA - güçlü kombinasyonunu kullanan, altın için özel olarak tasarlanmış gelişmiş bir ticaret danışmanıdır. Çalışma Prensibi: 10 dönemlik EMA, Keltner bandının üstünde/altında kesilen ortalama fiyatı temsil ederek bir yükseliş trendini/düşüş trendini teyit eder. Fiyatın 200 dönemlik EMA'nın üzerinde olması yükseliş trendini/düşüş trendini destekler. Bu, son 50 dönemdeki volatilite dikkate alındığında, yükseliş/düşüş trendinin önceki 10 dönemden daha güçlü olduğunu gösterir - Zaman çerçevesi: M15
Örnekleyici
i_Sampler göstergesi ideal girdileri hesaplar, sinir ağı eğitimi için tasarlanmıştır.
ATR Cycles
Bir hızlı ATR, bir orta ATR ve bir yavaş ATR olmak üzere 3 ATR'ye dayalı bir volatilite filtresi