FOREX - Тенденции, прогнозы и следствия 2020 - страница 419

 
ALEKSANDR GADZERA:

Всем салют) 

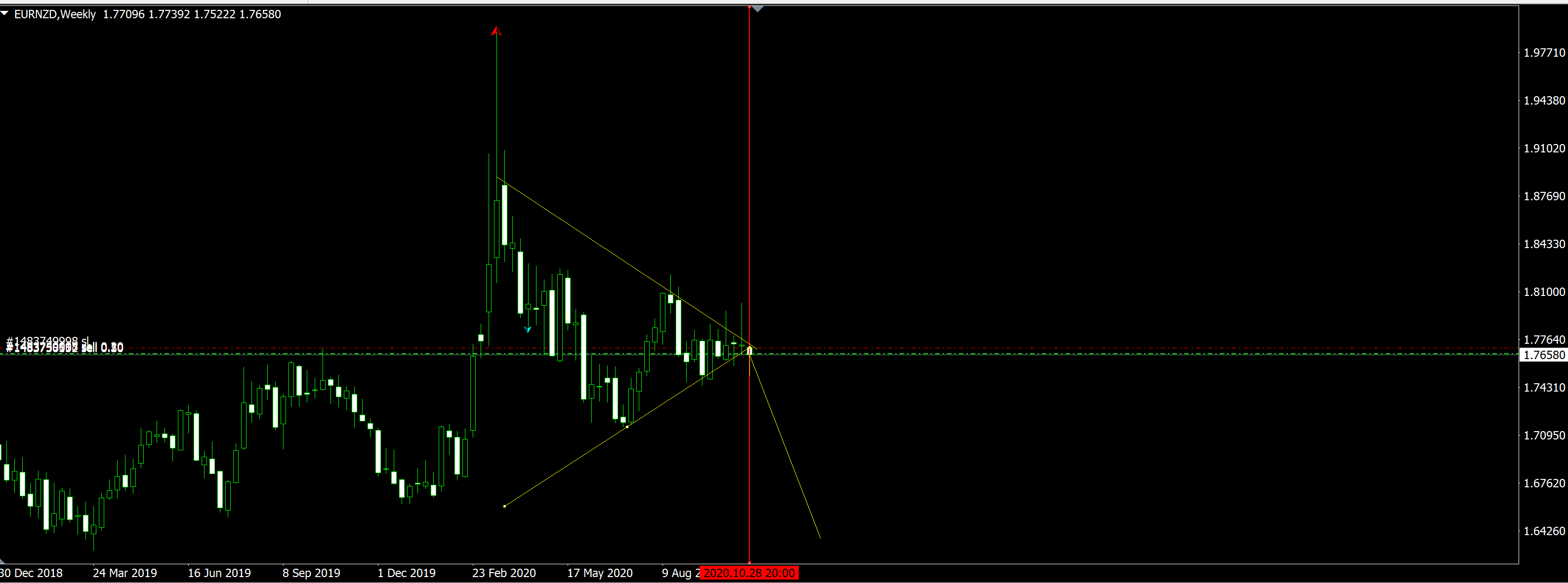
EURNZD хорошая точка на продажу, думаю лучше не будет:


Лучше купить с отката:

То же самое и на металле...

 

USDCAD профукали точку, если отрисуется треугольник как я нарисовал, можно будет продавать на всю котлету. либо сейчас немного


 
Lesorub:

Лучше купить с отката:

То же самое и на металле...

EURNZD Не Илюха, не думаю что это хорошая затея. выход из треугольника стремительный будет. Сейчас хороший экстремум для долгосрочной продажи.


 
ALEKSANDR GADZERA:

USDCAD профукали точку, если отрисуется треугольник как я нарисовал, можно будет продавать на всю котлету. либо сейчас немного


Меньше спать надо...


 
ALEKSANDR GADZERA:

EURNZD Не Илюха, не думаю что это хорошая затея. выход из треугольника стремительный будет. Сейчас хороший экстремум для долгосрочной продажи.


Киви вниз пока, да:

Но, есть еще Евра!

 
Lesorub:

Меньше спать надо...


Отлично, ну я думаю щас откатимся тоже затарюсь....

 
ALEKSANDR GADZERA:

Отлично, ну я думаю щас откатимся тоже затарюсь....

Ену еще смотри, вчера тебе озвучивал...

 
Кто что думает на счет золота. (перед выборами стоит шорт крыть?)
[Удален]  
sterva:
Кто что думает на счет золота. (перед выборами стоит шорт крыть?)

хочет упасть к 1790.80

Файлы:
 
sterva:
Кто что думает на счет золота. (перед выборами стоит шорт крыть?)
Роста не будет в ближайшее 10-15 недель