BlueArmor ETH V2 Sample
- Experts
- Sami Farooq
- Versione: 2.0
BlueArmor ETH V2 Sample – FREE Version!
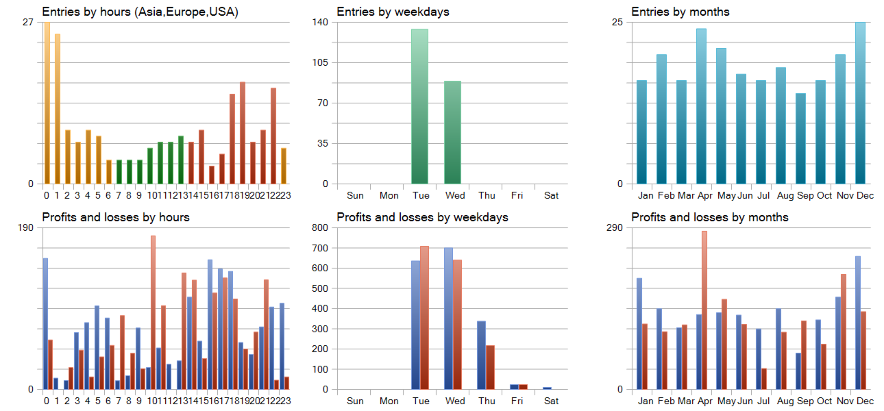
BlueArmor ETH V2 – Sample Version is a high-performance Expert Advisor designed for ETHUSD trading on the H1 timeframe. Engineered for intraday and swing strategies, this EA combines robust backtesting optimized using ICMarkets data with adaptive risk management to cater to both assertive and conservative traders.
This sample edition includes an adjustable trailing stop loss, empowering you to lock in profits with precision and flexibility. To encourage real world testing in a controlled environment, this version executes trades exclusively on Tuesdays and Wednesdays.
For traders seeking full market exposure, the BlueArmor ETH V2 – Full Version offers 7-day trading capabilities, including weekend sessions. subject to broker support for crypto trading. (Arriving soon).
Deploy BlueArmor ETH V2 – Sample Version to experience elite-level ETH automation with built-in profit protection.
_____________________________________________________________________________Settings:
- SL - 10000
- TP - 10000
- Start Trailing - 5000
- Trailing Stop - 5000
- Timeframe - 1 Hour
- Brokers - ICMarkets
_____________________________________________________________________________
Legal Disclaimer & Risk Notice:
Trading foreign exchange (Forex) or contracts for differences (CFDs) on margin carries a high level of risk and may not be suitable for all investors. Past performance is not indicative of future results. This Expert Advisor is provided "as-is" for educational and research purposes. The author assumes no responsibility for losses incurred through its use. Users are advised to test the EA on demo accounts before deploying it in live trading environments. Use at your own discretion.
