Rejoignez notre page de fans
- Vues:
- 104
- Note:
- Publié:
-
Besoin d'un robot ou d'un indicateur basé sur ce code ? Commandez-le sur Freelance Aller sur Freelance
Indicateur de corrélation de Pearson.
Paramètres d'entrée :
- Symbole - deuxième symbole pour le calcul ;
- Period - période ;
- Prix - prix appliqué ;
- Corrélation minimale - couleur du gradient pour une faiblecorrélation;
- Corrélation maximale - couleur du gradient pour une forte dépendance.
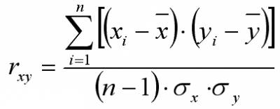
Formule générale :

Où :
- xi et yi sont les attributs quantitatifs comparés ;
- n est le nombre d'observations comparées ;
- σx et σy - écarts types dans les séries comparées.

Traduit du russe par MetaQuotes Ltd.
Code original : https://www.mql5.com/ru/code/897
IncGUI_ColorInput
Un contrôle graphique pour la saisie des couleurs.
KA-Gold Bot MT5
KA-Gold Bot est un conseiller en trading avancé spécialement conçu pour l'or, utilisant la puissante combinaison de la stratégie du canal de Keltner et de deux moyennes mobiles exponentielles (EMA) - l'EMA à 10 périodes et l'EMA à 200 périodes. Principe de fonctionnement : L'EMA 10 périodes représente la moyenne des prix au-dessus/en dessous de la bande de Keltner, confirmant une tendance haussière/baissière. Le fait que le cours soit supérieur à la moyenne mobile des 200 périodes confirme la tendance haussière/baissière. Cela indique que la tendance haussière/baissière a été plus forte que les 10 périodes précédentes, compte tenu de la volatilité sur les 50 dernières périodes - Cadre temporel : M15
Échantillon
L'indicateur i_Sampler calcule les entrées idéales, il est conçu pour l'entraînement des réseaux neuronaux.
ATR Cycles
Un filtre de volatilité basé sur 3 ATR : un ATR rapide, un ATR moyen et un ATR lent.