Вы упускаете торговые возможности:
- Бесплатные приложения для трейдинга
- 8 000+ сигналов для копирования
- Экономические новости для анализа финансовых рынков
Регистрация
Вход
Вы принимаете политику сайта и условия использования
Если у вас нет учетной записи, зарегистрируйтесь
"Трейдер" всю свою карьеру человеческое общество пытается ободрать,
"Трейдер" всю свою карьеру человеческое общество пытается ободрать
А вот эти формулировочки интересны:
Получается же, что комиссия за услугу не имеет фиксированной цены, так как конечный расчёт будет сделан только в момент закрытия позиции, и это даёт неопределённость клиенту о цене услуги, что вроде как нарушает право клиента знать точную стоимость услуги, прежде чем соглашаться на неё.
А второй момент... вам же то же не приходят электронные кассовые чеки за услугу по пролонгации договора? Вот мне не приходят, а от брокера всегда приходили за комиссию. Знаете, я думаю, что в налоговом учёте циферки за пролонгацию скрываются в теле финансового результата по отдельному договору (сделке). Что это даёт? Это позволяет не платить с комиссии НДС 20%. В общем, пока жду ответ от форекс-дилера - где мои чеки, а там посмотрю, что дальше делать...
За неделю не смогли сообразить ответ. Вообще, очень не оперативно отвечают на вопросы.
У меня тут идея - вернуть часть налогов за 2024 год, для этого нужно подать декларацию 3-НДФЛ.
Решил посмотреть, что за Отчёты предоставляет форекс-дилеры, и ужаснулся!
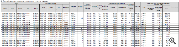
Вот кусочек такого отчёта одного из форекс-дилеров на скрине ниже
В результате написал форекс-дилеру запрос:
"
Знакомлюсь с "Отчет форекс-дилера по операциям, совершенным за период" и у меня возникают вопросы:
"
Видя такой отчёт, налоговый инспектор, решивший въехать в него, просто откажет в возмещении налога.
Другой форекс-дилер вообще забил на термины в рамочном договоре, вот так выглядит его отчёт - внимание на шапку - тут более привычные формулировки "сделка", в то время как должен быть "отдельный договор".

Даже "Своп" у них тут имеется...За неделю не смогли сообразить ответ.
В таблице "5. Информация о движениях денежных средств Контрагента:" показатель "сумма удержанных комиссий RUB" заполнен нулями, в то время, как в таблице "1. Реестр Отдельных договоров с расчетами в отчетном периоде" показатель столбца "Форвардные пункты" имеет не нулевое значение. Форвардные пункты - комиссия за пролонгацию отдельного договора. Необходимо отразить эту комиссию в таблице №5.
В общем-то подозрения подтвердились - они не указывают в отчёте для клиента комиссию за пролонгацию договора, значит и для налоговой отчётности не указывают, с высокой долей вероятности.
Ещё всплыл такой нюанс, у одних форекс-дилеров разрешено закрытие позиции встречной, а у других нет. На мой взгляд, как раз закрытие позиции встречной и есть тот самый взаимозачёт отдельных договоров, и клиент имеет на него право, исходя из Базового стандарта.
Однако, отсутствие такой возможности даёт возможность клиенту потребовать провести взаимозачет по статье 410 ГК РФ:
Если исполнят - претензий нет. Но, вот если откажут, то можно требовать произвести взаимозачёт через суд.
Вот там и интересно, как суд оценит понятие "Обязательство клиента" - в рамках ГК РФ или по Базовому стандарту.
Это позволит понять, правомерно ли производить взаимозачёт отдельных договоров при закрытии позиции и брать спред за это.
Минус такого эксперимента в издержках, связанных с тем, что придётся длительное время удерживать противоположную позицию с накоплением комиссии за пролонгацию договора (своп - в привычном термине), ну и осложнит удобство ручной торговли.
вы опять все отклоняетесь от темы :
за 50 страниц уже выяснили - ОН МЕДЛЕННО РАБОТАЕТ ИЛИ КАК ?
PS/ во всех порядочных местах, если в теме написано "СтопАут" то именно он в ней и обсуждается..всё что вне заявленной темы - заведомо флуд,оффтоп и получает соответствующие ответы
вы опять все отклоняетесь от темы :
за 50 страниц уже выяснили - ОН МЕДЛЕННО РАБОТАЕТ ИЛИ КАК ?
PS/ во всех порядочных местах, если в теме написано "СтопАут" то именно он в ней и обсуждается..всё что вне заявленной темы - заведомо флуд и получает соответствующие ответы
Разобрались - работает медленно. Федеральный закон подразумевает безусловное исполнение обязательств в момент стоп-аута, а Базовый стандарт ввёл вариативность.
Если оценивать по скорости исполнения, в рамках Базового стандарта, то она будет разной, при этом с нулевым шансом на положительное "проскальзывание".
В целом, скорость такая, которую настроит форекс-дилер на сервере - в пределах исполнения иных заявок клиента. Почему говорю "настройет", так как зафиксировано падение скорости в 3 раза с определённой даты.
Согласен, что итогом этого вопроса, про скорость, должен быть скрипт, который покажет задержки. Разработка затянулась - есть нюанс, который не знаю, как лучше обыграть.
Что же касается несоответствия названию темы и содержания большей части её, то, несомненно, она наполнена полезной информацией, и напрямую связана со стоп-аутом. Возможно, есть смысл подумать о переименовании темы, если этого потребуют модераторы.
Разобрались - работает медленно. Федеральный закон подразумевает безусловное исполнение обязательств в момент стоп-аута, а Базовый стандарт ввёл вариативность.
Если оценивать по скорости исполнения, в рамках Базового стандарта, то она будет разной, при этом с нулевым шансом на положительное "проскальзывание".
В целом, скорость такая, которую настроит форекс-дилер на сервере - в пределах исполнения иных заявок клиента. Почему говорю "настройет", так как зафиксировано падение скорости в 3 раза с определённой даты.
Согласен, что итогом этого вопроса, про скорость, должен быть скрипт, который покажет задержки. Разработка затянулась - есть нюанс, который не знаю, как лучше обыграть.
Что же касается несоответствия названию темы и содержания большей части её, то, несомненно, она наполнена полезной информацией, и напрямую связана со стоп-аутом. Возможно, есть смысл подумать о переименовании темы, если этого потребуют модераторы.