Unisciti alla nostra fan page
- Visualizzazioni:
- 92
- Valutazioni:
- Pubblicato:
-
Hai bisogno di un robot o indicatore basato su questo codice? Ordinalo su Freelance Vai a Freelance
Indicatore di correlazione di Pearson.
Parametri di ingresso:
- Simbolo - secondo simbolo per il calcolo;
- Periodo - periodo;
- Prezzo - prezzo applicato;
- Correlazione minima - colore del gradiente per unacorrelazione debole;
- Correlazione massima - colore del gradiente per una dipendenza elevata.
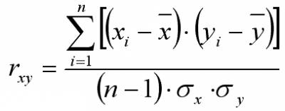
Formula generale:

Dove:
- xi e yi sono gli attributi quantitativi da confrontare;
- n è il numero di osservazioni confrontate;
- σx e σy - deviazioni standard delle serie confrontate.

Tradotto dal russo da MetaQuotes Ltd.
Codice originale https://www.mql5.com/ru/code/897
IncGUI_ColorInput
Un controllo grafico per l'input del colore.
KA-Gold Bot MT5
KA-Gold Bot è un consulente di trading avanzato progettato specificamente per l'oro, che utilizza la potente combinazione della strategia del canale di Keltner e di due medie mobili esponenziali (EMA) - l'EMA a 10 periodi e l'EMA a 200 periodi. Principio di funzionamento: L'EMA a 10 periodi rappresenta il taglio medio del prezzo sopra/sotto la banda di Keltner, a conferma di una tendenza al rialzo/al ribasso. Il prezzo che si trova al di sopra dell'EMA a 200 periodi supporta l'uptrend/downtrend. Ciò indica che il trend rialzista/ribassista è stato più forte rispetto ai 10 periodi precedenti, considerando la volatilità degli ultimi 50 periodi: M15
Campionario
L'indicatore i_Sampler calcola gli ingressi ideali ed è progettato per l'addestramento delle reti neurali.
ATR Cycles
Un filtro di volatilità basato su 3 ATR: un ATR veloce, un ATR medio e un ATR lento.