Distribución F no central

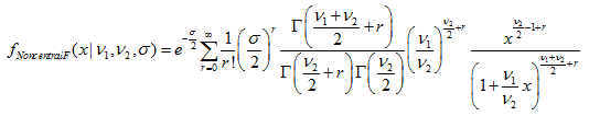
En este apartado se muestran las funciones para trabajar con la distribución F no central. Estas permiten calcular la densidad, la probabilidad, los cuantiles y generar números pseudoaleatorios, distribuidos conforme a la ley de distribución de Fisher no central. La distribución F no central se describe con la siguiente fórmula:

pdf_noncentral_F_distribution

donde:

  • x – valor de la magnitud aleatoria
  • ν1 – primer parámetro de distribución (número de grados de libertad)
  • ν2 – segundo parámetro de distribución (número de grados de libertad)
  • σ – parámetro de no-centralidad

DemoNoncentralF

Aparte del cálculo de diferentes magnitudes aleatorias, se ha implementado la posibilidad de trabajar con sus matrices.  

Función

Descripción

MathProbabilityDensityNoncentralF

Calcula la densidad de probabilidad de la distribución F no central

MathCumulativeDistributionNoncentralF

Calcula el valor de la función de la distribución F no central de la probabilidad

MathQuantileNoncentralF

Calcula el valor de la función inversa de la distribución F no central para la probabilidad indicada

MathRandomNoncentralF

Genera una magnitud/matriz pseudoaleatoria de magnitudes pseudoaleatorias, distribuidas según la ley de la distribución Fisher no central

MathMomentsNoncentralF

Calcula los valores numéricos teóricos de los 4 primeros momentos de la distribución de Fisher no central

Ejemplo:

#include <Graphics\Graphic.mqh>
#include <Math\Stat\NoncentralF.mqh>
#include <Math\Stat\Math.mqh>
#property script_show_inputs
//--- input parameters
input double nu_1=20;    // primer número de grados de libertad
input double nu_2=20;    // segundo número de grados de libertad
input double sig=10;     // parámetro de no-centralidad
//+------------------------------------------------------------------+
//| Script program start function                                    |
//+------------------------------------------------------------------+
void OnStart()
  {
//--- desactivamos la exhibición del gráfico de precio
   ChartSetInteger(0,CHART_SHOW,false);
//--- inicializamos el generador de números aleatorios  
   MathSrand(GetTickCount());
//--- generamos una muestra de la magnitud aleatoria
   long chart=0;
   string name="GraphicNormal";
   int n=1000000;       // número de valores en la muestra
   int ncells=51;       // número de intervalos en el histograma
   double x[];          // centros de los intervalos del histograma
   double y[];          // número de valores de la muestra que han entrado en el intervalo
   double data[];       // muestra de valores aleatorios 
   double max,min;      // valor máximo y mínimo en la muestra
//--- obtenemos la muestra de la distribución F no central
   MathRandomNoncentralF(nu_1,nu_2,sig,n,data);
//--- calculamos los datos para construir el histograma
   CalculateHistogramArray(data,x,y,max,min,ncells);
//--- obtenemos los límites de la secuencia y el salto para construir la curva teórica
   double step;
   GetMaxMinStepValues(max,min,step);
   step=MathMin(step,(max-min)/ncells);
//--- obtenemos los datos calculados teóricamente en el intervalo [min,max]
   double x2[];
   double y2[];
   MathSequence(min,max,step,x2);
   MathProbabilityDensityNoncentralF(x2,nu_1,nu_2,sig,false,y2);
//--- escalamos
   double theor_max=y2[ArrayMaximum(y2)];
   double sample_max=y[ArrayMaximum(y)];
   double k=sample_max/theor_max;
   for(int i=0; i<ncells; i++)
      y[i]/=k;
//--- mostramos el gráfico
   CGraphic graphic;
   if(ObjectFind(chart,name)<0)
      graphic.Create(chart,name,0,0,0,780,380);
   else
      graphic.Attach(chart,name);
   graphic.BackgroundMain(StringFormat("Noncentral F-distribution nu1=%G nu2=%G sigma=%G",nu_1,nu_2,sig));
   graphic.BackgroundMainSize(16);
//--- plot all curves
   graphic.CurveAdd(x,y,CURVE_HISTOGRAM,"Sample").HistogramWidth(6);
//--- y ahora construimos la curva teórica de la densidad de la distribución
   graphic.CurveAdd(x2,y2,CURVE_LINES,"Theory");
   graphic.CurvePlotAll();
//--- plot all curves
   graphic.Update();
  }
//+------------------------------------------------------------------+
//|  Calculate frequencies for data set                              |
//+------------------------------------------------------------------+
bool CalculateHistogramArray(const double &data[],double &intervals[],double &frequency[],
                             double &maxv,double &minv,const int cells=10)
  {
   if(cells<=1) return (false);
   int size=ArraySize(data);
   if(size<cells*10) return (false);
   minv=data[ArrayMinimum(data)];
   maxv=data[ArrayMaximum(data)];
   double range=maxv-minv;
   double width=range/cells;
   if(width==0) return false;
   ArrayResize(intervals,cells);
   ArrayResize(frequency,cells);
//--- establecemos los centros de los intervalos
   for(int i=0; i<cells; i++)
     {
      intervals[i]=minv+(i+0.5)*width;
      frequency[i]=0;
     }
//--- rellenamos las frecuencias de entrada en el intervalo
   for(int i=0; i<size; i++)
     {
      int ind=int((data[i]-minv)/width);
      if(ind>=cells) ind=cells-1;
      frequency[ind]++;
     }
   return (true);
  }
//+------------------------------------------------------------------+
//|  Calculates values for sequence generation                       |
//+------------------------------------------------------------------+
void GetMaxMinStepValues(double &maxv,double &minv,double &stepv)
  {
//--- calculamos la amplitud absoluta de la secuencia, para obtener la precisión de normalización
   double range=MathAbs(maxv-minv);
   int degree=(int)MathRound(MathLog10(range));
//--- normalizamos los valores máximos y mínimos con la precisión establecida
   maxv=NormalizeDouble(maxv,degree);
   minv=NormalizeDouble(minv,degree);
//--- el salto de generación de la secuencia también lo estableceremos a partir de la precisión indicada
   stepv=NormalizeDouble(MathPow(10,-degree),degree);
   if((maxv-minv)/stepv<10)
      stepv/=10.;
  }