Distribución binomial negativa

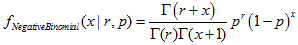
En este apartado se muestran las funciones para trabajar con la distribución binomial negativa. Estas permiten calcular la densidad, la probabilidad, los cuantiles y generar números pseudoaleatorios, distribuidos conforme a la ley binomial negativa. La distribución binomial negativa se describe con la siguiente fórmula:

pdf_negative_binomial_distribution

donde:

  • x – valor de la magnitud aleatoria
  • r – número de pruebas exitosas
  • p – probabilidad de éxito

DemoNegativeBinomial

Aparte del cálculo de diferentes magnitudes aleatorias, se ha implementado la posibilidad de trabajar con sus matrices.  

Función

Descripción

MathProbabilityDensityNegativeBinomial

Calcula la densidad de probabilidad de la distribución binomial negativa

MathCumulativeDistributionNegativeBinomial

Calcula el valor de la función de la distribución binomial negativa de la probabilidad

MathQuantileNegativeBinomial

Calcula el valor de la función inversa de la distribución binomial negativa para la probabilidad indicada

MathRandomNegativeBinomial

Genera una magnitud/matriz pseudoaleatoria de magnitudes pseudoaleatorias, distribuidas según la ley de la distribución binomial negativa

MathMomentsNegativeBinomial

Calcula los valores numéricos teóricos de los 4 primeros momentos de la distribución binomial negativa.

Ejemplo:

#include <Graphics\Graphic.mqh>
#include <Math\Stat\NegativeBinomial.mqh>
#include <Math\Stat\Math.mqh>
#property script_show_inputs
//--- input parameters
input double n_par=40;        // número de pruebas
input double p_par=0.75;      // probabilidad de éxito para cada prueba
//+------------------------------------------------------------------+
//| Script program start function                                    |
//+------------------------------------------------------------------+
void OnStart()
  {
//--- desactivamos la exhibición del gráfico de precio
   ChartSetInteger(0,CHART_SHOW,false);
//--- inicializamos el generador de números aleatorios  
   MathSrand(GetTickCount());
//--- generamos una muestra de la magnitud aleatoria
   long chart=0;
   string name="GraphicNormal";
   int n=1000000;       // número de valores en la muestra
   int ncells=19;       // número de intervalos en el histograma
   double x[];          // centros de los intervalos del histograma
   double y[];          // número de valores de la muestra que han entrado en el intervalo
   double data[];       // muestra de valores aleatorios 
   double max,min;      // valor máximo y mínimo en la muestra
//--- obtenemos la muestra de la distribución binomial negativa
   MathRandomNegativeBinomial(n_par,p_par,n,data);
//--- calculamos los datos para construir el histograma
   CalculateHistogramArray(data,x,y,max,min,ncells);
//--- obtenemos los datos calculados teóricamente en el intervalo [min,max]
   double x2[];
   double y2[];
   MathSequence(0,n_par,1,x2);
   MathProbabilityDensityNegativeBinomial(x2,n_par,p_par,false,y2);
//--- escalamos
   double theor_max=y2[ArrayMaximum(y2)];
   double sample_max=y[ArrayMaximum(y)];
   double k=sample_max/theor_max;
   for(int i=0; i<ncells; i++)
      y[i]/=k;
//--- mostramos el gráfico
   CGraphic graphic;
   if(ObjectFind(chart,name)<0)
      graphic.Create(chart,name,0,0,0,780,380);
   else
      graphic.Attach(chart,name);
   graphic.BackgroundMain(StringFormat("Negative Binomial distributionn n=%G p=%G",n_par,p_par));
   graphic.BackgroundMainSize(16);
//--- plot all curves
   graphic.CurveAdd(x,y,CURVE_HISTOGRAM,"Sample").HistogramWidth(6);
//--- y ahora construimos la curva teórica de la densidad de la distribución
   graphic.CurveAdd(x2,y2,CURVE_LINES,"Theory").LinesSmooth(true);
   graphic.CurvePlotAll();
//--- plot all curves
   graphic.Update();
  }
//+------------------------------------------------------------------+
//|  Calculate frequencies for data set                              |
//+------------------------------------------------------------------+
bool CalculateHistogramArray(const double &data[],double &intervals[],double &frequency[],
                             double &maxv,double &minv,const int cells=10)
  {
   if(cells<=1) return (false);
   int size=ArraySize(data);
   if(size<cells*10) return (false);
   minv=data[ArrayMinimum(data)];
   maxv=data[ArrayMaximum(data)];
   double range=maxv-minv;
   double width=range/cells;
   if(width==0) return false;
   ArrayResize(intervals,cells);
   ArrayResize(frequency,cells);
//--- establecemos los centros de los intervalos
   for(int i=0; i<cells; i++)
     {
      intervals[i]=minv+(i+0.5)*width;
      frequency[i]=0;
     }
//--- rellenamos las frecuencias de entrada en el intervalo
   for(int i=0; i<size; i++)
     {
      int ind=int((data[i]-minv)/width);
      if(ind>=cells) ind=cells-1;
      frequency[ind]++;
     }
   return (true);
  }