Prometheus Analyst
- Indikatoren
- Humphrey Mangera
- Version: 14.0
Frei | von THE SONS
Ein Geschenk von The Sons - ohne Bedingungen, ohne Probezeit, ohne Ablaufdatum.
Jeder Trader verdient den Zugang zu professionellen Marktinformationen. Aus dieser Überzeugung heraus gibt es die Prometheus Technical Version, und deshalb kostet sie auch nichts. Betrachten Sie es als unseren Händedruck an die Handelsgemeinschaft.
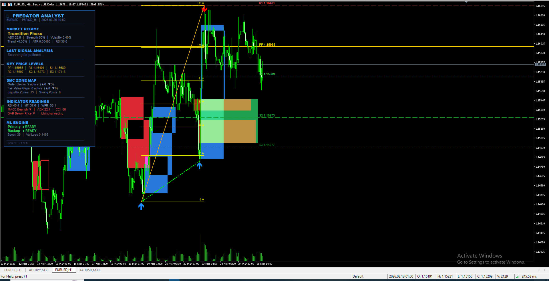
Was Sie bekommen
Es handelt sich nicht um ein vereinfachtes Tool, das als Geschenk getarnt ist. Die technische Version von Prometheus ist ein vollständig entwickelter Indikator für die technische Analyse in institutioneller Qualität, der mit einem neuronalen Netzwerk mit zwei Modellen arbeitet, das auf bis zu 8.000 Stichproben trainiert wurde, sowie mit einer Engine zur Erkennung von 29 Mustern, einer vollständigen Zuordnung von Smart Money-Konzepten, einer Klassifizierung von 9 Marktregimen, einer Ausrichtung auf mehrere Zeitrahmen (H4 und D1) und einer institutionellen Risikoanalyse einschließlich VaR, CVaR und Kelly Criterion - alles live auf Ihrem Chart, ohne einen Cent auszugeben.
Die Signale tragen einen kalibrierten Konfidenzwert, nicht nur einen Pfeil. Sie werden nur ausgelöst, wenn der gesamte Confluence-Stack erfüllt ist - ML-Schwellenwert, Musterqualität, SMC-Abgleich, Volumenbestätigung, Spread-Check und Regime-Filter laufen unabhängig voneinander auf jedem Balken. Was Ihr Diagramm erreicht, hat seinen Platz dort verdient.
Die SMC-Engine bildet Order-Blocks, Fair-Value-Gaps, Liquidity Grabs, Break of Structure, Change of Character, Mitigation Blocks und Liquidity Voids in Echtzeit ab. Der Performance Tracker hält rollierende Sharpe-, Sortino- und Calmar-Ratios aufrecht, so dass Sie immer wissen, ob Ihr Vorteil statistisch intakt ist. Alarme erreichen Sie per Popup, Ton, Push oder E-Mail - Sie haben die Wahl.
Ein ehrliches Wort
Prometheus Technican Version ist der Anfang der Geschichte, nicht das Ende. Sie teilt ihre grundlegende Architektur mit dem breiteren Predator-Ökosystem - aber die volle Leistung dieses Ökosystems steckt imPrometheus AI Trader, unserem Premium-Flaggschiff, das von derPrometheus AI Engine angetrieben wird.
Wo Predator Technican den Markt liest, lernt Prometheus ihn - kontinuierlich, auf jedem Chart, den es berührt, und wird mit jedem aufgelösten Signal schärfer. Es ist eine ganz andere Art von Tool.
Predator Pulse ist jetzt zu einem Gründungspreis fürnur 50 Exemplare erhältlich. Sobald die 50 Exemplare vergriffen sind, steigt der Preis um 50% - dauerhaft.
Nutzen Sie dieses Werkzeug. Lernen Sie die Sprache des Marktes. Dann kommen Sie zu uns.
- Die Söhne
MetaTrader 5 | Alle Symbole und Zeitrahmen
Nachricht Humphrey über Nachrichten für Eingaben Leitfaden und alle Fragen im Zusammenhang.
