Mercaria Pattern 1 2 3
- Göstergeler
- Anton Serozhkin
- Sürüm: 1.0
- Etkinleştirmeler: 10
MercariaPattern1-2-3 відстежує рух ціни, знаходить трьоххвильові структури 1-2-3 та підсвічує момент, коли сценарій підтверджується пробоєм ключового рівня.
MercariaPattern1-2-3 tracks price movement, detects three-leg 1-2-3 structures and highlights the moment when the scenario is confirmed by a key level breakout.
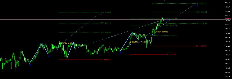
Індикатор збирає локальні свінги в компактну фігуру 0–1–2–3, чекає підтвердженого пробою та будує стрілку входу з готовими рівнями SL/TP.
The indicator combines local swings into a compact 0–1–2–3 structure, waits for a confirmed breakout and plots an entry arrow with ready-to-use SL/TP levels.
Сигнали фіксуються по закриттю свічки, уже відмальовані патерни не перемальовуються.
Signals are confirmed on bar close, and already drawn patterns do not repaint.
⚙️ ЛОГІКА РОБОТИ / HOW IT WORKS
Індикатор шукає локальні максимуми й мінімуми з урахуванням параметра Amplitude (масштаб свінгів, рівень фільтрації шуму).
The indicator scans for local highs and lows using the Amplitude parameter (swing scale and noise filtering level).
Зі свінгів формується патерн 1-2-3: бичачий варіант (мінімум → максимум → вищий мінімум) та ведмежий варіант (максимум → мінімум → нижчий максимум).
From these swings it builds a 1-2-3 pattern: bullish (low → high → higher low) and bearish (high → low → lower high).
Відкат у точці 3 фільтрується діапазоном MinRetracement / MaxRetracement у відсотках від руху 1→2.
The retracement into point 3 is filtered by the MinRetracement / MaxRetracement range in percent of the 1→2 move.
Параметр PatternType дозволяє обрати: показувати розворотні патерни, патерни продовження тренду або обидва типи.
The PatternType parameter lets you choose whether to show reversal patterns, trend-continuation patterns, or both.
Після формування точки 3 індикатор чекає, коли ціна по закриттю свічки проб'є точку 2 вгору (для BUY) або вниз (для SELL).
After point 3 is formed, the indicator waits for price to break point 2 on bar close upwards (for BUY) or downwards (for SELL).
На свічці пробою з'являється стрілка, підпис ENTRY на рівні точки 2 та розраховані рівні SL / TP1 / TP2 / TP3.
On the breakout bar it draws an arrow, an ENTRY label at point 2 price and calculated SL / TP1 / TP2 / TP3 levels.
Внутрішній кеш не дозволяє дублювати вже оброблені патерни та зменшує навантаження на термінал.
An internal cache prevents already processed patterns from being duplicated and reduces terminal load.
📊 ОСНОВНІ ПАРАМЕТРИ / KEY PARAMETERS
Amplitude — масштабує свінги, на основі яких будується патерн. Менше значення — більше дрібних фігур і шуму, більше значення — рідші, але структурніші патерни.
Amplitude scales the swings used to build the pattern. Lower values mean more small patterns and noise, higher values mean fewer but more structural patterns.
MinRetracement / MaxRetracement — мінімальний та максимальний відкат точки 3, у %, від першого руху 1→2. Звужуєте діапазон — отримаєте менше, але чіткіших сигналів.
MinRetracement / MaxRetracement define the minimum and maximum retracement of point 3, in %, of the initial 1→2 move. Narrower ranges give fewer but cleaner signals.
PatternType — фільтр за сценарієм: тільки розвороти, тільки продовження тренду або обидва типи. Так ви задаєте, де саме в тренді патерн буде підсвічуватись.
PatternType filters scenarios: only reversals, only trend continuations, or both. This controls where in the trend the pattern will be highlighted.
MaxHistoryBars — обмежує кількість барів історії, які аналізує індикатор, що впливає на швидкість завантаження й кількість об'єктів у минулому.
MaxHistoryBars limits how many bars of history are processed, affecting loading speed and the number of objects in the past.
🎨 ВІДОБРАЖЕННЯ ТА ВІЗУАЛ / DRAWING & VISUALS
DisplaySLTP — вмикає або вимикає відображення рівнів SL/TP; при вимкненні залишаються тільки патерн, стрілка та підписи.
DisplaySLTP turns SL/TP levels on or off; when disabled, only the pattern, arrow and labels remain.
Кольори, розміри шрифтів та товщина ліній (BullishPatternClr, BearishPatternClr, EntryLevelClr, SLLevelClr, TPLevelClr, BullishBreakoutClr, BearishBreakoutClr, LabelFontSize, LevelFontSize, LineWidthZZ, LevelLineWidth, ArrowSize) відповідають лише за зовнішній вигляд.
Colors, font sizes and line widths (BullishPatternClr, BearishPatternClr, EntryLevelClr, SLLevelClr, TPLevelClr, BullishBreakoutClr, BearishBreakoutClr, LabelFontSize, LevelFontSize, LineWidthZZ, LevelLineWidth, ArrowSize) control appearance only.
Ви можете виділити BUY/SELL різними кольорами, підлаштувати контраст під темну/світлу тему та зробити рівні SL/TP основними орієнтирами на графіку.
You can color-code BUY/SELL, tune contrast for light/dark themes and make SL/TP levels the main visual anchors on the chart.
🛑 СТОП-ЛОСС / STOP-LOSS
SL_OffsetBuy / SL_OffsetSell — зсув SL у пунктах від точки 3: нижче для BUY та вище для SELL.
SL_OffsetBuy / SL_OffsetSell shift SL in points from point 3: below for BUY and above for SELL.
Менший зсув дає більш щільний стоп-лосс, але чутливий до шуму та шпильок; більший зсув розширює захисний коридор, але збільшує розмір стопу.
Smaller offsets give tighter stops but more sensitivity to noise and spikes; larger offsets give a wider protective buffer but increase the stop size.
⚠️ ВАЖЛИВО / IMPORTANT
Індикатор не відкриває та не закриває угоди — це аналітичний інструмент для візуалізації патернів 1-2-3 на графіку.
The indicator does not open or close trades — it is an analytical tool for visualizing 1-2-3 patterns on the chart.
Сигнали формуються тільки по закриттю свічки пробою, а MercariaPattern1-2-3 не є інвестиційною або торговою порадою.
Signals are generated only on breakout bar close, and MercariaPattern1-2-3 is not investment or trading advice.
Усі рішення щодо торгівлі трейдер приймає самостійно та на власний ризик.
All trading decisions are made by the trader independently and at their own risk.
