Midjourney и другие нейросети обработки изображений - страница 736

[Удален]  
MQL очень малый процент выборки обучения ЛЛМ составляет. Здесь кто-то на форуме скидывал свою дообученную на справке с этого сайта, уже не найду ссыль. Может проект уже заброшен :)
 
Maxim Dmitrievsky #:
MQL очень малый процент выборки обучения ЛЛМ составляет. Здесь кто-то на форуме скидывал свою дообученную на справке с этого сайта, уже не найду ссыль. Может проект уже заброшен :)

Я не против, могу давать излишне эмоциональную оценку

Но иногда даже простой код в процедурном стиле (который можно написать на всех языках, наверное) - Чат отказывается писать... по убеждению(!). 

Мол, такое невозможно написать средствами языка mql. Раз спросил - отказал. Два спросил - отказал. Я его переспрашиваю: опиши то, что я хочу - средствами математики. Он мне пишет красивые формулы в хронологическом порядке следования алгоритма. 

Потом я ему говорю: а теперь все эти свои арифметические операции напиши на псевдоязыке. Он мне пишет на ппсевдо языке. 

Потом говорю: а теперь этот псевдоязык переведи на процедурный mql. 

Он мне пишет на "простом" языке - то, что нужно. 



А сразу нельзя было? А если бы я недопендрил его "развести" на разговор. Так бы и не было ответа. 

Чтобы симулировать интеллект, нужно хотя бы как минимум избавиться от таких "болячек". 

А этот о1, даже если он рассуждает: его потом прикроют, как сущность, которая жрёт очень много энергии. 



UPD

Самый популярный комментарий про гонку ИИ:
Куртка снова всех развёл на видеокарты


 


)

[Удален]  
👍😁
 

Сижу без интернета и сразу все заскучали, даже хейтеры.

Обещают починить к 10 декабря. Так что буду редко с телефона/модема заходить.

P.S. Жив. Цел. Орёл.

 

Mistral выпустил модель Pixtral Large мультимодальную модель с 124B параметров.

А также Le Chat (https://chat.mistral.ai/) получил серьёзное обновление. Поиск в интернете, генерация картинок с помощью Flux Pro, работа с документами и др.

 

Обновился Suno до v4.

Прокачали всё, лирику, музыку, голоса.

 

Обновился GPT-4o.


 

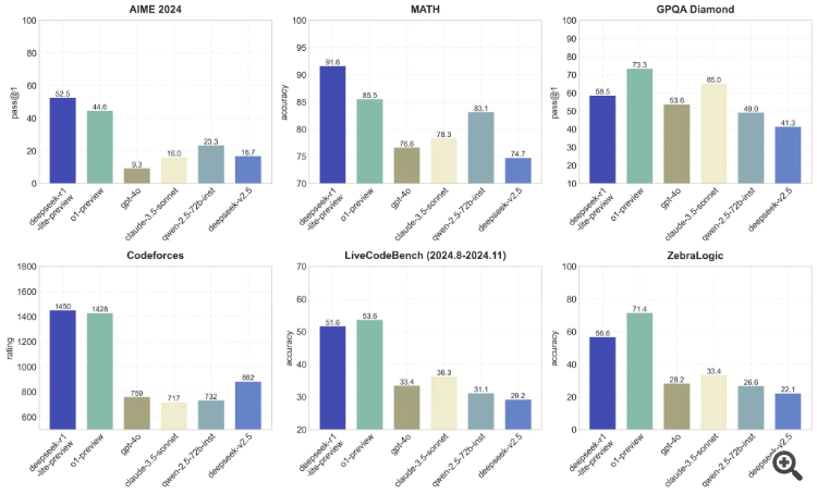
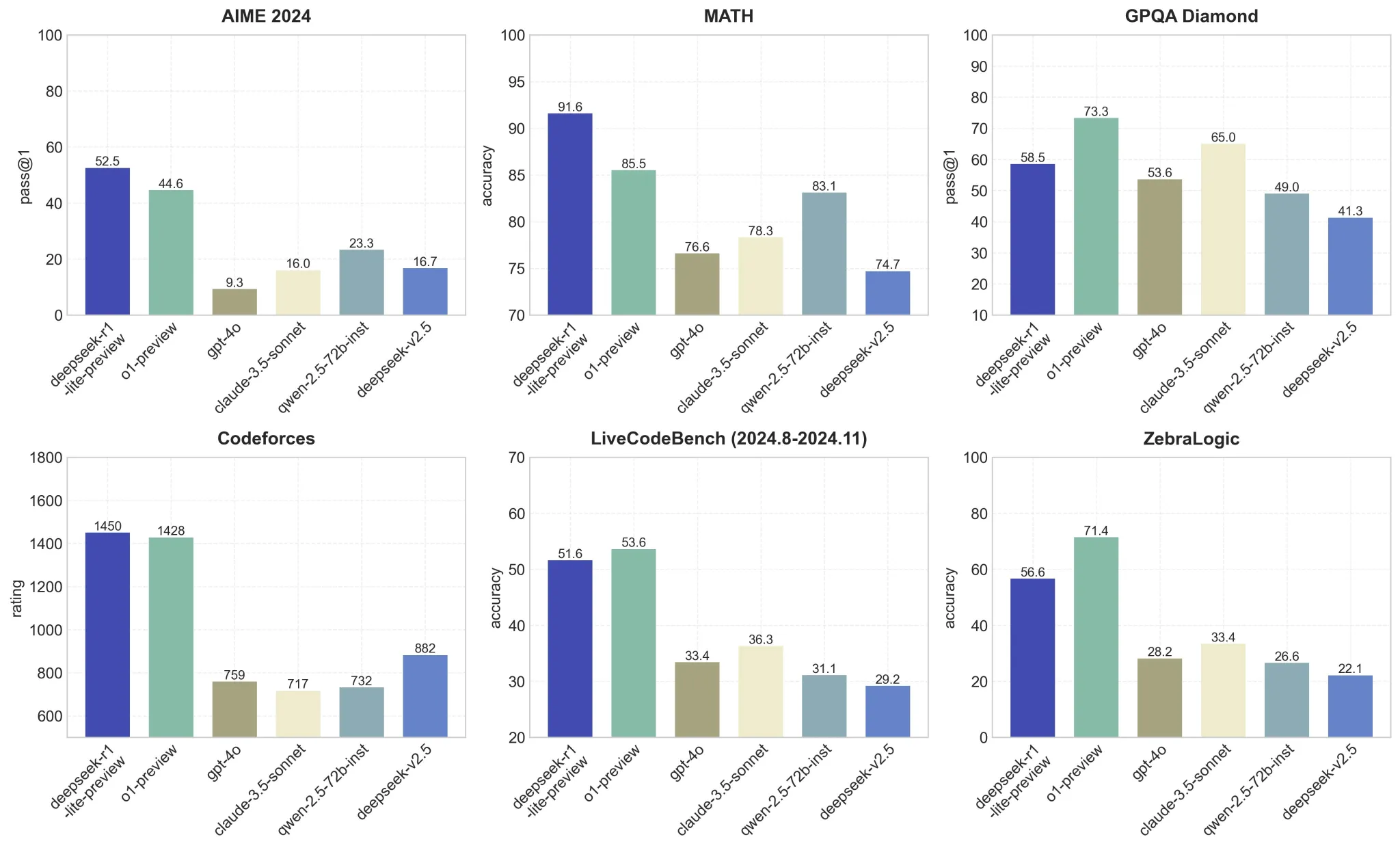
Компания DeepSeek выпустила R1-Lite-Preview.

И это первая нейронка, которая среди всех остальных обогнала "думающий" ChatGPT-o1-preview в написании кода и математике.

//Это сильно, учитывая в планах выпустить открытый код модели.

DeepSeek-R1-Lite-Preview AI reasoning model beats OpenAI o1 | VentureBeat


DeepSeek’s first reasoning model R1-Lite-Preview turns heads, beating OpenAI o1 performance
DeepSeek’s first reasoning model R1-Lite-Preview turns heads, beating OpenAI o1 performance
  • 2024.11.20
  • Carl Franzen
  • venturebeat.com
DeepSeek, an AI offshoot of Chinese quantitative hedge fund High-Flyer Capital Management focused on releasing high-performance open-source tech, has unveiled the R1-Lite-Preview, its latest reasoning-focused large language model (LLM), available for now exclusively through DeepSeek Chat, its web-based AI chatbot. Known for its innovative...
 

Relax генерации. Миджорни