Chip Tech
- Experten
- Brian Atari Omari
- Version: 1.1
- Aktivierungen: 5
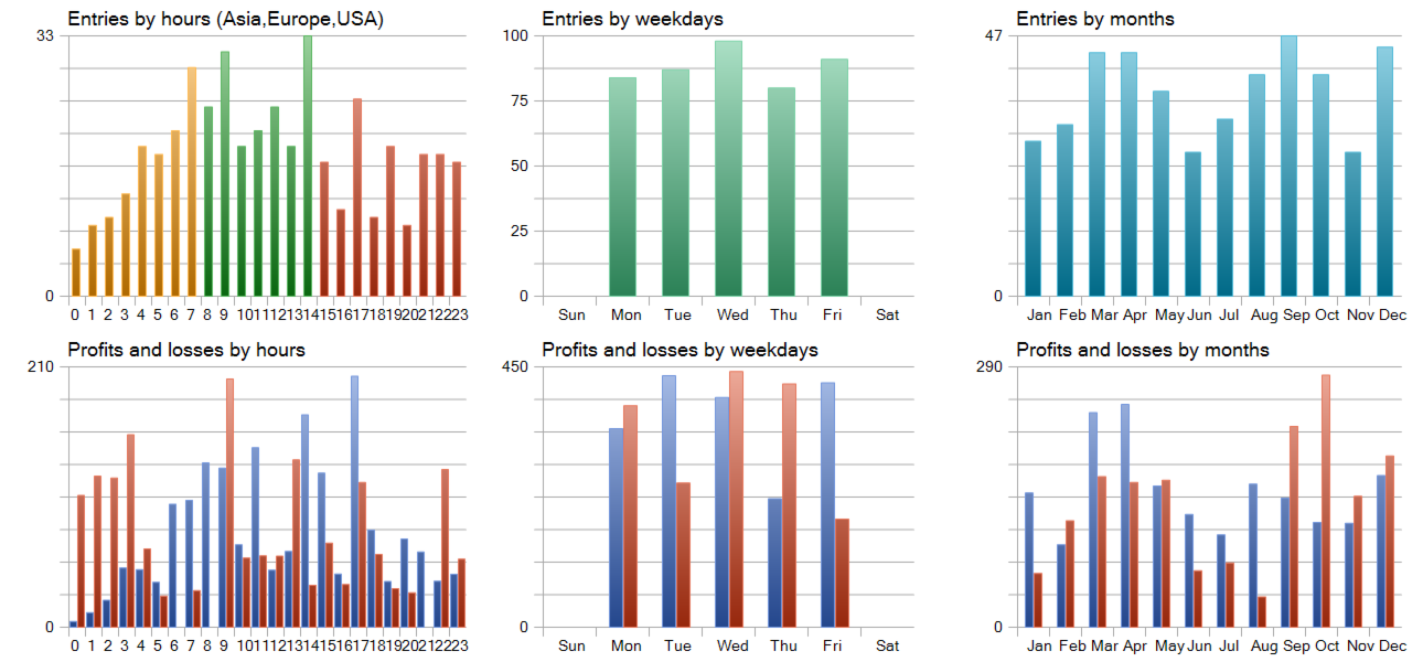
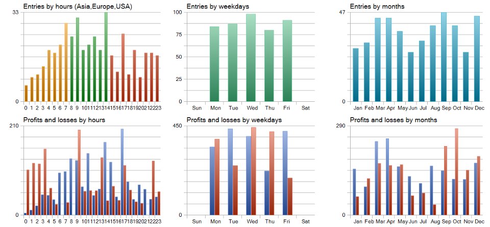
Chip Tech EA arbeitet nach mehreren Prinzipien, die mit dem MACD (Moving Average Convergence/Divergence) zusammenhängen. Für einen Short-Einstieg muss der Kurs über dem MA oder EMA 200 liegen, die MACD-Signallinie von unten nach oben kreuzen und die Kreuzung unterhalb der Nulllinie des MACD stattfinden. Der Einstieg erfolgt bei der Kerze nach dem Crossover, der Stop-Loss liegt unter dem gleitenden Durchschnitt und der Take-Profit im Verhältnis 1:1,5.
