Математикам. Нужна помощь в вычисленни интеграла

 

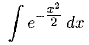
Помогите пожалуйста кто знает как вычислить такой интеграл (в учебниках по теории вероятностей не нашел, через Google тоже):

(Это из интегральной теоремы Муавра-Лапласа)


Пробовал заменить е^(-x^2/2) на t, но получилось еще хуже:

1/(2*(2^0.5))*Integral(t^2/(ln(1/t)^0.5))dt

 
WWer >>:

Помогите пожалуйста кто знает как вычислить такой интеграл (в учебниках по теории вероятностей не нашел, через Google тоже):

(Это из интегральной теоремы Муавра-Лапласа)


Пробовал заменить е^(-x^2/2) на t, но получилось еще хуже:

1/(2*(2^0.5))*Integral(t^2/(ln(1/t)^0.5))dt

Попал математик в сумашедший дом.

Начали к нему приставать клиенты сумашедшего дома, спаса нет..

Математик:

- А вот как всех сейчас проинтегрирую...!!!

Все в испуге разбежались, один только сидит не шелохнется...

Через какое-то время опять начали приставать...

Математик:

- А вот как сейчас всех продифференцирую !!!

Все опять разбежались, только тот один по прежнему сидит...

Математик:

- А ты чего сидишь, не боишься ?

- Нет, не боюсь, я - "е" в степени " х"...



Вот, пока все...

 

Он не берется. Ищи таблицу или попробуй в Екселе, там м.б. функция (не уверен).

В Маткаде точно сделаешь.

[Удален]  
WWer >>:

Помогите пожалуйста кто знает как вычислить такой интеграл (в учебниках по теории вероятностей не нашел, через Google тоже):

(Это из интегральной теоремы Муавра-Лапласа)

А что ты с ним потом делать собираешься? Неопределённый интеграл от такой штуки всегда выглядит кошмарно, там гамма функции полезут изо всех щелей - я всегда надолго впадал в ступор от таких интегралов. Зато определённые интегралы милы и симпатичны - MATLAB твой друг. Например, от нуля до бесконечности будет sqrt(2*pi)/2

 
1. а зачем это считать если в хороших учебниках имеются таблицы этого интеграла (приближенное вычиcление), кроме того справочники бумажные)))
2. можно поупражняться этой формулой http://www.nsu.ru/matlab/Exponenta_RU/educat/class/test/9/intteor.asp.htm
3. и вот еще файл почитайте, тут достаточно ясно как таблицами пользоваться
 
MQ боятся дос файлоф(((
Файлы:
 

Любой интеграл можно вычислить численным методом.

С этим даже MQL4 справиться.

 
ага, - прямоугольниками его!!
 

Таблицы у меня есть, но мне нужно как-то програмно это вычислить, тоесть мне нужно записать функцию Ф(х).

Zhunko >>:

Любой интеграл можно вычислить численным методом.

С этим даже MQL4 справиться.

Как?

 
Korey, зачем так жестоко?
 
WWer >>:

Таблицы у меня есть, но мне нужно как-то програмно это вычислить, тоесть мне нужно записать функцию Ф(х).

Как?

Элементарно, Ватсон.

Интеграл F(x)dx от а до b = summ((f(x)*delta)

delta - шаг.

x принимает знач-я от а до b с шагом delta. При стремлении delta -> 0, сумма -> к интегралу.

Все.