Spiky beta
- Experts
- Dennis Manase Juma
- Versione: 1.1
- Attivazioni: 5
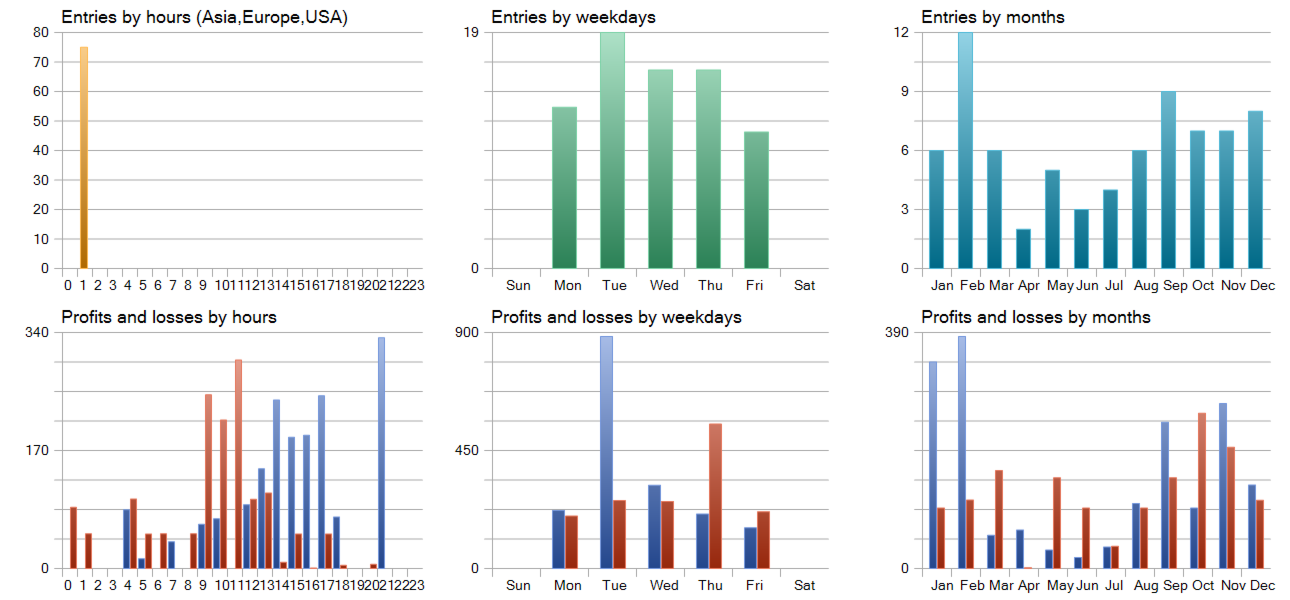
Spiky beta EA works with the principle of spike detection. A spike in this case is a higher than the the previous BarsNumber bars, higher than previous bar by Percentage Difference and that closed in the lower ThirdOrHalf part of its length. For bullish signal, everything is inverted. The position is kept open until Hold bars pass or an opposite signal is received.
