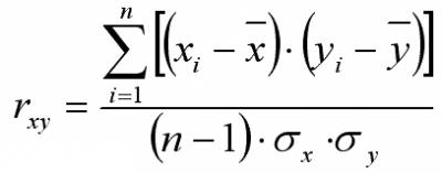
Indicateurs: Indicateur de corrélation

 

Indicateur de corrélation:

Indicateur de corrélation de Pearson.

Indicateur de corrélation

Author: Mihail Lagutin

 

Je suis d'accord qu'il y a Cloud et OCL, mais cela ne signifie pas qu'il faille traiter l'optimisation algorithmique (AO) avec autant de négligence.

P.S. Il serait bon de spécifier que le code ne contient pas d'AO (bon seulement pour le temps réel et les exécutions uniques dans le testeur), ou que l'AO est présente - bon pour l'optimiseur du testeur.

 

Merci !!!

C'est utile et bien écrit.

 
pusheax:

Merci !!!

C'est utile et bien écrit.

Vos évaluations de méga-expert sont étonnantes !

L'indicateur est à deux caractères, les heures des barres ne sont pas synchronisées. L'indicateur est pour le panier (qui est sur le bureau). Désolé.

 
Integer:

Vos évaluations de méga-expert sont étonnantes !

L'indicateur est à deux caractères, les heures des barres ne sont pas synchronisées. L'indicateur est pour le panier (qui est sur le bureau). Excusez-moi.

Dima, as-tu écrit un bot qui poste pour toi ? :о)

Ou s'agit-il simplement d'un manque chronique de perception du caractère ?

 
Urain:

Dima, as-tu écrit un bot qui poste pour toi ? :о)

Ou est-ce juste un manque chronique de perception du caractère ?

Pourquoi inventer quelque chose ? Une fois inventé, et ensuite utilisé de façon répétée - les principes OOP en action :)

Il n'y a pas de non-reconnaissance chronique, quand un cas est un cas, et que deux cas sont des statistiques :) Il est nécessaire de corriger une situation statistiquement légale erronée.

 
Integer:

Vos évaluations de méga-expert sont étonnantes !

L'indicateur est à deux caractères, les heures des barres ne sont pas synchronisées. L'indicateur est pour le panier (qui est sur le bureau). Excusez-moi.

Avez-vous au moins regardé le code de l'indicateur ?

Il est synchronisé avec l'heure de la dernière barre.

Et le nombre de barres devrait être à peu près le même, mais surtout aligné sur le bord droit pour tous les instruments de la même période, puisqu'ils sont tous formés en même temps.

L'indicateur est vraiment utile, à condition de savoir l'utiliser !

 
...trois cas, c'est déjà un schéma cohérent :)
 
Integer:
...trois cas, c'est déjà un rythme soutenu :)
L'arrogance est une épithète plus juste... :)
 
pusheax:
L'arrogance est une épithète plus appropriée... :)
4
 
Integer:

Vos évaluations de méga-expert sont étonnantes !

L'indicateur est à deux caractères, les heures des barres ne sont pas synchronisées. L'indicateur est pour le panier (qui est sur le bureau). Désolé.

Ok, hier c'était un peu exagéré, je suppose que vous célébriez le "Border Guard Day" comme moi aussi.

Pouvez-vous me donner un lien vers la synchronisation correcte des barres, car j'utilise également cette méthode de synchronisation par la dernière barre et c'est tout ?