超几何分布

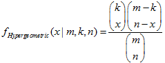
这部分包含了处理超几何分布的所有函数。它们可以计算密度,概率,四分位数以及生成根据超几何定律分布的伪随机数。超几何分布通过以下公式来定义:

pdf_hypergeometric_distribution

在这里:

  • x ― 随机变量值(整数)
  • m ― 对象总数  
  • k ― 包含所需特性的对象数
  • n ― 对象绘制数

DemoHypergeometricDistribution

除了计算单独的随机变量以外,程序库还具有处理随机变量数组的能力。  

函数

描述

MathProbabilityDensityHypergeometric

计算超几何分布的概率密度函数

MathCumulativeDistributionHypergeometric

计算超几何概率分布函数值

MathQuantileHypergeometric

计算指定概率逆超几何分布函数值

MathRandomHypergeometric

生成根据超几何定律分布的伪随机变量/伪随机变量数组

MathMomentsHypergeometric

计算超几何分布的前4力矩的理论数值

示例:

#include <Graphics\Graphic.mqh>
#include <Math\Stat\Hypergeometric.mqh>
#include <Math\Stat\Math.mqh>
#property script_show_inputs
//--- 输入参数
input double m_par=60;      // 对象总数
input double k_par=30;      // 包含所需特性的对象数
input double n_par=30;      // 绘制对象数
//+------------------------------------------------------------------+
//| 脚本程序起始函数                                                   |
//+------------------------------------------------------------------+
void OnStart()
  {
//--- 隐藏价格图表
   ChartSetInteger(0,CHART_SHOW,false);
//--- 初始化随机数生成器  
   MathSrand(GetTickCount());
//--- 生成一个随机变量样本
   long chart=0;
   string name="GraphicNormal";
   int n=1000000;       // 样本值的数量
   int ncells=15;       // 直方图区间数
   double x[];          // 直方图的区间中心
   double y[];          // 区间内样本数量值下降
   double data[];       // 随机值样本
   double max,min;      // 样本的最大最小值
//--- 获得超几何分布的样本
   MathRandomHypergeometric(m_par,k_par,n_par,n,data);
//--- 计算数据来绘制直方图
   CalculateHistogramArray(data,x,y,max,min,ncells);
//--- 获得序列边界和绘制理论曲线的步骤
   double step;
   GetMaxMinStepValues(max,min,step);
   PrintFormat("max=%G min=%G",max,min);
//--- 获得[min,max]区间的理论计算数据
   double x2[];
   double y2[];
   MathSequence(0,n_par,1,x2);
   MathProbabilityDensityHypergeometric(x2,m_par,k_par,n_par,false,y2);
//--- 设定比例
   double theor_max=y2[ArrayMaximum(y2)];
   double sample_max=y[ArrayMaximum(y)];
   double k=sample_max/theor_max;
   for(int i=0; i<ncells; i++)
      y[i]/=k;
//--- 输出图表
   CGraphic graphic;
   if(ObjectFind(chart,name)<0)
      graphic.Create(chart,name,0,0,0,780,380);
   else
      graphic.Attach(chart,name);
   graphic.BackgroundMain(StringFormat("Hypergeometric distribution m=%G k=%G n=%G",m_par,k_par,n_par));
   graphic.BackgroundMainSize(16);
//--- 绘制全部曲线
   graphic.CurveAdd(x,y,CURVE_HISTOGRAM,"Sample").HistogramWidth(6);
//--- 现在绘制分布密度的理论曲线
   graphic.CurveAdd(x2,y2,CURVE_LINES,"Theory").LinesSmooth(true);
   graphic.CurvePlotAll();
//--- 绘制全部曲线
   graphic.Update();
  }
//+------------------------------------------------------------------+
//|  计算数据集的频率                                                  |
//+------------------------------------------------------------------+
bool CalculateHistogramArray(const double &data[],double &intervals[],double &frequency[],
                             double &maxv,double &minv,const int cells=10)
  {
   if(cells<=1) return (false);
   int size=ArraySize(data);
   if(size<cells*10) return (false);
   minv=data[ArrayMinimum(data)];
   maxv=data[ArrayMaximum(data)];
   double range=maxv-minv;
   double width=range/cells;
   if(width==0) return false;
   ArrayResize(intervals,cells);
   ArrayResize(frequency,cells);
//--- 定义区间中心
   for(int i=0; i<cells; i++)
     {
      intervals[i]=minv+(i+0.5)*width;
      frequency[i]=0;
     }
//--- 填充区间内下降的频率
   for(int i=0; i<size; i++)
     {
      int ind=int((data[i]-minv)/width);
      if(ind>=cells) ind=cells-1;
      frequency[ind]++;
     }
   return (true);
  }
//+------------------------------------------------------------------+
//|  计算序列生成值                                                    |
//+------------------------------------------------------------------+
void GetMaxMinStepValues(double &maxv,double &minv,double &stepv)
  {
//--- 计算序列的绝对范围获得标准化精度
   double range=MathAbs(maxv-minv);
   int degree=(int)MathRound(MathLog10(range));
//--- 标准化指定精度的最大和最小值
   maxv=NormalizeDouble(maxv,degree);
   minv=NormalizeDouble(minv,degree);
//--- 也基于指定精度设置序列生成步骤
   stepv=NormalizeDouble(MathPow(10,-degree),degree);
   if((maxv-minv)/stepv<10)
      stepv/=10.;
  }