Beta Applied MACD
- Experts
- Raymond Kamau Thuo
- Versione: 1.10
- Attivazioni: 5
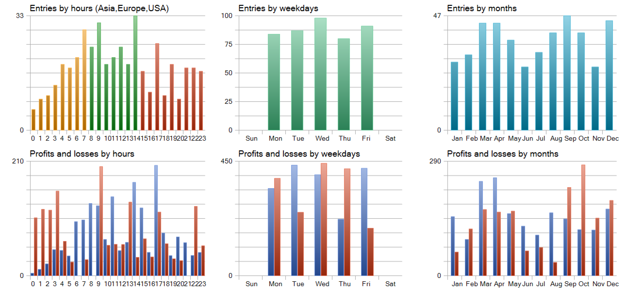
Beta Applied MACD works on several principles affiliated to MACD (Moving average convergence/divergence). For short entry to occur, price has to be above MA or EMA 200, the MACD cross signal line in MACD from below to up and the cross happens below the zero line on the MACD. The entry is on the candle after the crossover, stop loss is below the moving average and take profit is on a ratio of 1:1.5.
