伽玛分布

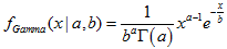
这部分包含了处理伽玛分布的所有函数。它们可以计算密度,概率,四分位数以及生成根据相应定律分布的伪随机数。伽玛分布通过以下公式来定义:

pdf_gamma_distribution

在这里:

  • x ― 随机变量值
  • а ― 分布的第一个参数
  • b ― 分布的第二个参数

DemoGammaDistribution

除了计算单独的随机变量以外,程序库还具有处理随机变量数组的能力。  

函数

描述

MathProbabilityDensityGamma

计算伽玛分布的概率密度函数

MathCumulativeDistributionGamma

计算伽玛概率分布函数值

MathQuantileGamma

计算指定概率逆伽玛分布函数值

MathRandomGamma

生成根据伽玛分布定律分布的伪随机变量/伪随机变量数组

MathMomentsGamma

计算伽玛分布的前4力矩的理论数值

示例:

#include <Graphics\Graphic.mqh>
#include <Math\Stat\Gamma.mqh>
#include <Math\Stat\Math.mqh>
#property script_show_inputs
//--- 输入参数
input double alpha=9;   // 分布的第一个参数(shape)
input double beta=0.5;  // 分布的第二个参数(scale)
//+------------------------------------------------------------------+
//| 脚本程序起始函数                                                   |
//+------------------------------------------------------------------+
void OnStart()
  {
//--- 隐藏价格图表
   ChartSetInteger(0,CHART_SHOW,false);
//--- 初始化随机数生成器  
   MathSrand(GetTickCount());
//--- 生成一个随机变量样本
   long chart=0;
   string name="GraphicNormal";
   int n=1000000;       // 样本值的数量
   int ncells=51;       // 直方图区间数
   double x[];          // 直方图的区间中心
   double y[];          // 区间内样本数量值下降
   double data[];       // 随机值样本
   double max,min;      // 样本的最大最小值
//--- 获得伽玛分布的样本
   MathRandomGamma(alpha,beta,n,data);
//--- 计算数据来绘制直方图
   CalculateHistogramArray(data,x,y,max,min,ncells);
//--- 获得序列边界和绘制理论曲线的步骤
   double step;
   GetMaxMinStepValues(max,min,step);
   step=MathMin(step,(max-min)/ncells);
//--- 获得[min,max]区间的理论计算数据
   double x2[];
   double y2[];
   MathSequence(min,max,step,x2);
   MathProbabilityDensityGamma(x2,alpha,beta,false,y2);
//--- 设定比例
   double theor_max=y2[ArrayMaximum(y2)];
   double sample_max=y[ArrayMaximum(y)];
   double k=sample_max/theor_max;
   for(int i=0; i<ncells; i++)
      y[i]/=k;
//--- 输出图表
   CGraphic graphic;
   if(ObjectFind(chart,name)<0)
      graphic.Create(chart,name,0,0,0,780,380);
   else
      graphic.Attach(chart,name);
   graphic.BackgroundMain(StringFormat("Gamma distribution alpha=%G beta=%G",alpha,beta));
   graphic.BackgroundMainSize(16);
//--- 禁止自动缩放Y轴
   graphic.YAxis().AutoScale(false);
   graphic.YAxis().Max(NormalizeDouble(theor_max,1));
   graphic.YAxis().Min(0);   
//--- 绘制全部曲线
   graphic.CurveAdd(x,y,CURVE_HISTOGRAM,"Sample").HistogramWidth(6);
//--- 现在绘制分布密度的理论曲线
   graphic.CurveAdd(x2,y2,CURVE_LINES,"Theory");
   graphic.CurvePlotAll();
//--- 绘制全部曲线
   graphic.Update();
  }
//+------------------------------------------------------------------+
//|  计算数据集的频率                                                  |
//+------------------------------------------------------------------+
bool CalculateHistogramArray(const double &data[],double &intervals[],double &frequency[],
                             double &maxv,double &minv,const int cells=10)
  {
   if(cells<=1) return (false);
   int size=ArraySize(data);
   if(size<cells*10) return (false);
   minv=data[ArrayMinimum(data)];
   maxv=data[ArrayMaximum(data)];
   double range=maxv-minv;
   double width=range/cells;
   if(width==0) return false;
   ArrayResize(intervals,cells);
   ArrayResize(frequency,cells);
//--- 定义区间中心
   for(int i=0; i<cells; i++)
     {
      intervals[i]=minv+(i+0.5)*width;
      frequency[i]=0;
     }
//--- 填充区间内下降的频率
   for(int i=0; i<size; i++)
     {
      int ind=int((data[i]-minv)/width);
      if(ind>=cells) ind=cells-1;
      frequency[ind]++;
     }
   return (true);
  }
//+------------------------------------------------------------------+
//|  计算序列生成值                                                    |
//+------------------------------------------------------------------+
void GetMaxMinStepValues(double &maxv,double &minv,double &stepv)
  {
//--- 计算序列的绝对范围获得标准化精度
   double range=MathAbs(maxv-minv);
   int degree=(int)MathRound(MathLog10(range));
//--- 标准化指定精度的最大和最小值
   maxv=NormalizeDouble(maxv,degree);
   minv=NormalizeDouble(minv,degree);
//--- 也基于指定精度设置序列生成步骤
   stepv=NormalizeDouble(MathPow(10,-degree),degree);
   if((maxv-minv)/stepv<10)
      stepv/=10.;
  }