지표: 상관관계 표시기

 

상관관계 표시기:

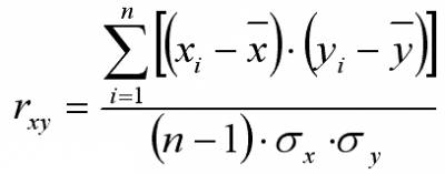
피어슨의 상관관계 지표.

상관관계 표시기

Author: Mihail Lagutin

 

클라우드와 OCL이 있다는 것에 동의하지만 알고리즘 최적화 (AO)를 그렇게 소홀히 다루어야한다는 의미는 아닙니다.

추신 : 코드에 AO가 포함되어 있지 않거나 (테스터에서 실시간 및 단일 실행에만 적합) AO가 존재하도록 지정하는 것이 좋습니다 - 테스터 최적화 도구에 좋습니다.

 

감사합니다!!!

유용한 자료와 잘 작성되었습니다.

 
pusheax:

감사합니다!!!

유용한 내용과 잘 작성되었습니다.

전문가다운 평가가 놀랍습니다!

표시기는 두 글자이고 막대 시간은 동기화되지 않습니다. 표시기는 (바탕화면에 있는) 바구니용입니다. 죄송합니다.

 
Integer:

전문가들의 평가가 놀랍습니다!

표시기는 두 글자로 표시되며 바 시간은 동기화되지 않습니다. 표시기는 바탕화면에 있는 바구니용입니다. 실례합니다.

디마, 대신 포스팅해주는 봇을 만들 었나요? :о)

아니면 만성적인 문자 인식 능력 부족인가요?

 
Urain:

디마, 대신 포스팅해주는 봇을 만들었나요? :о)

아니면 만성적인 캐릭터 인식 부족인가요?

왜 아무것도 발명하지 않나요? 일단 발명 한 다음 반복 사용-작동중인 OOP 원칙 :)

한 건은 사례이고 두 건은 통계 인 경우 만성적 인 비 인식은 없습니다 :) 잘못된 통계적으로 합법적 인 상황을 바로 잡을 필요가 있습니다.

 
Integer:

전문가들의 평가가 놀랍습니다!

표시기는 두 글자로 표시되며 바 시간은 동기화되지 않습니다. 표시기는 바탕화면에 있는 바구니용입니다. 실례합니다.

인디케이터의 코드를 보긴 하셨나요?

마지막 바의 시간을 기준으로 동기화됩니다.

그리고 막대의 수는 거의 같아야하지만 가장 중요한 것은 동일한 시간대의 모든 상품이 동시에 형성되기 때문에 오른쪽 가장자리에 정렬되어야합니다.

인디케이터는 사용법을 안다면 정말 유용합니다!

 
...세 가지 사례는 이미 일관된 패턴입니다:)
 
Integer:
...세 건은 이미 꾸준한 패턴입니다:)
오만함이라는 표현이 더 정확한 표현이겠네요...:)
 
pusheax:
오만함이 더 정확한 별명입니다...:)
4
 
Integer:

전문가들의 평가가 놀랍습니다!

표시기는 두 글자로 표시되며 바 시간은 동기화되지 않습니다. 표시기는 바탕화면에 있는 바구니용입니다. 죄송합니다.

어제는 저처럼 '국경수비대의 날'을 축하하고 계셨던 것 같네요.

저도 마지막 바를 기준으로 동기화하는 방법을 사용하고 있는데 올바른 동기화 링크를 알려주실 수 있나요?